Nucleus-nucleus potential (left) and fusion excitation functions (right) for 16O + 144,154Sm. (IMAGE)
Caption
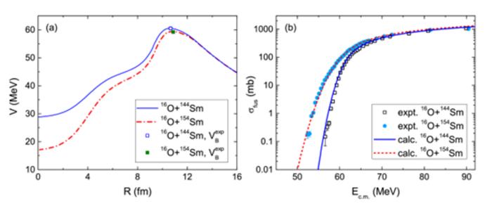
Nucleus-nucleus potential (left) and fusion excitation functions (right) for 16O + 144,154Sm. In addition to the barrier height, the realistic nucleus-nucleus potentials at short distances are also quite different from those based on frozen density approximation due to the dynamical effect. Furthermore, the reaction Q-value can also significantly affect the potential at short distances. Both the static deformations of the reaction partners and the Q-value of the reaction system affect the distribution of the barrier heights and as a consequence the fusion cross sections at sub-barrier energies.
Credit
Ning Wang
Usage Restrictions
Credit must be given to the creator. Only noncommercial uses of the work are permitted.
License
CC BY-NC