Capture excitation functions for some reactions leading to the synthesis of super-heavy nuclei. (IMAGE)
Caption
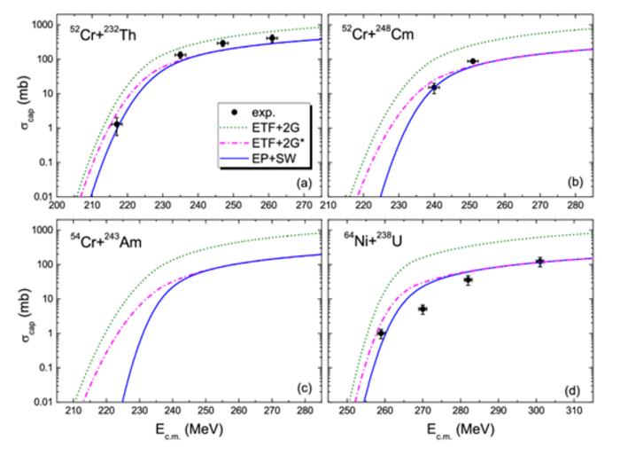
Capture excitation functions for some reactions leading to the synthesis of super-heavy nuclei. The green dotted curves denote the results with the traditional method, in which the capture cross sections approach to the geometric cross section (πRB2). The blue solid curves denote results by considering the influence of the deep inelastic scattering on the capture cross sections due to the shallow pocket in the nucleus-nucleus potential. For the systems leading the synthesis of new super-heavy elements, the shallow pocket significantly influences the capture cross sections.
Credit
Ning Wang
Usage Restrictions
Credit must be given to the creator. Only noncommercial uses of the work are permitted.
License
CC BY-NC